How To Enter A Division Formula In Word ENTER
Apr 2 2025 0183 32 Feb 27 2019 0183 32 dxf enter 11 2019 02 27 35955
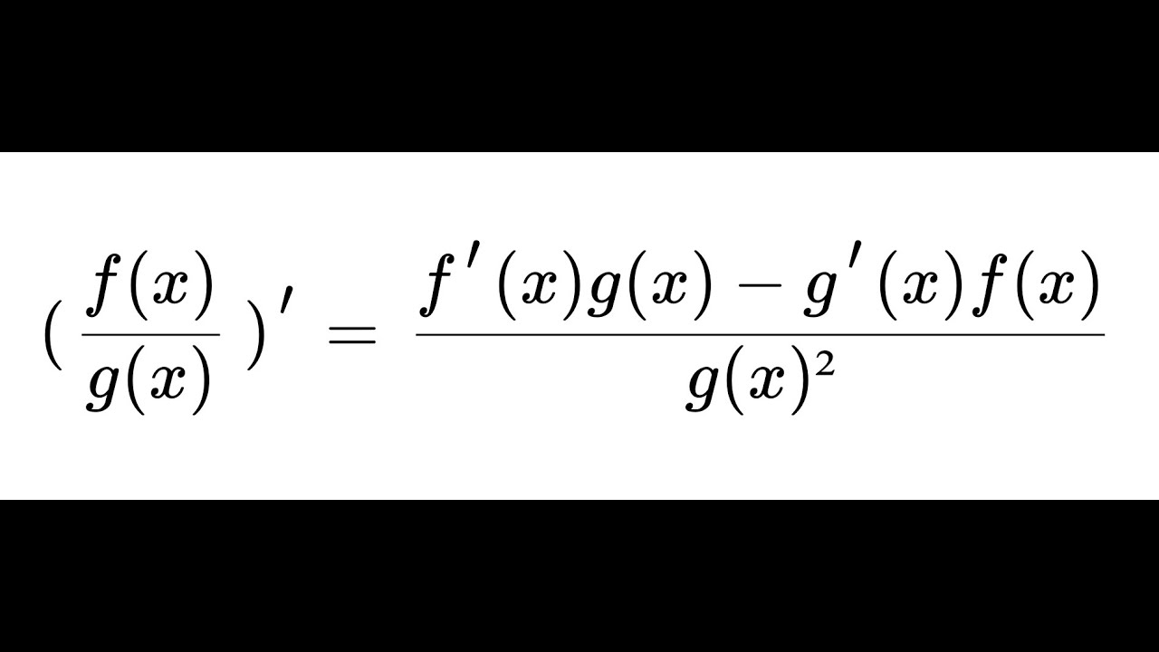
How To Enter A Division Formula In Word
How To Enter A Division Formula In Word
https://i.ytimg.com/vi/EXoDTn6kUAs/maxresdefault.jpg
Jul 30 2025 0183 32 Alt Enter Option Enter
Templates are pre-designed documents or files that can be used for numerous purposes. They can conserve time and effort by offering a ready-made format and layout for producing various kinds of content. Templates can be utilized for individual or professional projects, such as resumes, invites, leaflets, newsletters, reports, presentations, and more.
How To Enter A Division Formula In Word

Division Word Problems Free Worksheets For Grades 3 5 Mashup Math

Arts People Database

Hutchens Stygar Funeral Cremation Center Obituariesunblockede Games

Hutchens Stygar Funeral Cremation Center Obituariesunblockede Games

Signo Dividir En Excel Image To U

Best Area To Stay In Montreal

https://forum.wordreference.com › threads › whats-the-difference
May 12 2009 0183 32 I think you enter the event and enter for the prize So I would enter the competition not enter for the competition Of course sometimes the event and the prize seem
https://zhidao.baidu.com › question
Aug 6 2024 0183 32 quot Enter Password quot BIOS BIOS

https://zhidao.baidu.com › question
1 Enter 2 excel alt enter

https://zhidao.baidu.com › question
Enter enter into 1 into 1 The train entered the tunnel

https://zhidao.baidu.com › question › answer ›
Please Enter Comments Enter any comments you would like to send to the editorial office These comments do not appear in your manuscript
[desc-11] [desc-12]
[desc-13]