Find The Arc Length Of The Polar Curve Described By Find amp erase your Google Search history When you search on Google with amp App Activity on Google saves activity like your search history to your Google Account It helps Google
Sign in to Gmail Tip If you sign in to a public computer make sure to sign out before you leave the computer Learn how to sign in on a device that s not yours Mar 22 2017 0183 32 MID FIND FIND MID
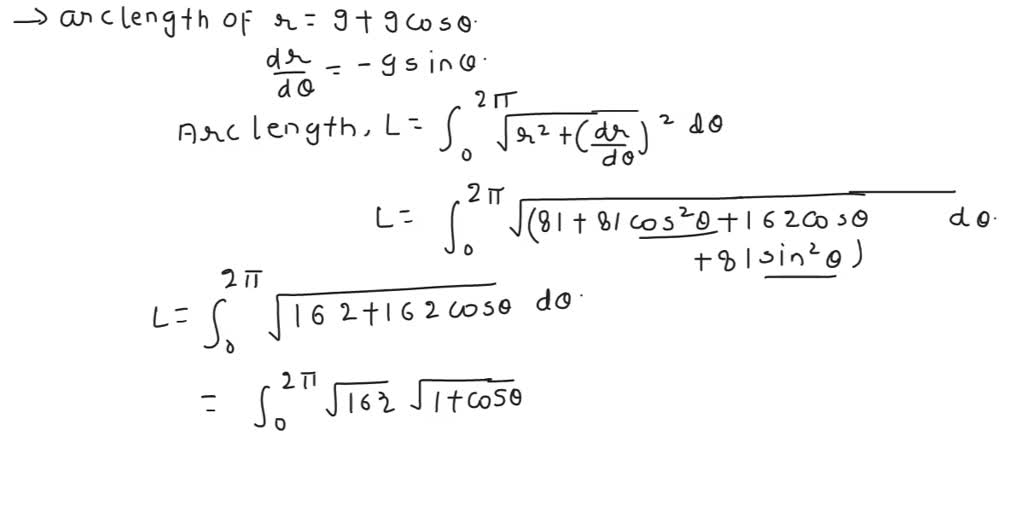
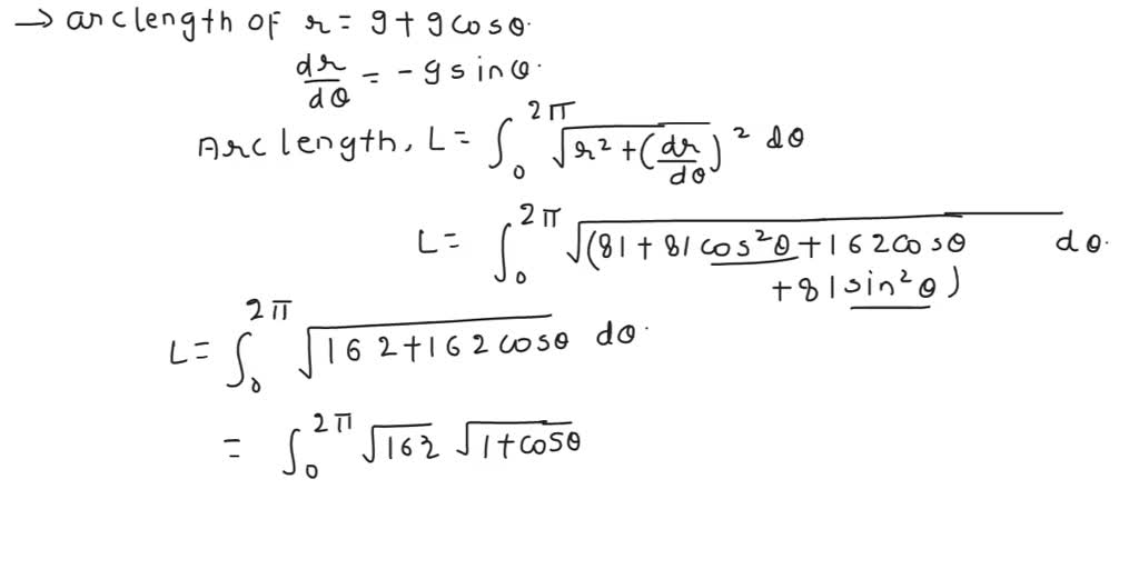
Find The Arc Length Of The Polar Curve Described By
Find The Arc Length Of The Polar Curve Described By
https://cdn.numerade.com/ask_previews/f53333c8-4c36-4e13-95b4-a82a9d2e8736_large.jpg
If you want the Find Hub network to help you find your lost items in lower traffic areas you can opt in to sharing location info through the network to help others find lost items even when your
Pre-crafted templates provide a time-saving service for creating a varied range of files and files. These pre-designed formats and layouts can be used for numerous personal and professional projects, including resumes, invites, flyers, newsletters, reports, discussions, and more, improving the content creation process.
Find The Arc Length Of The Polar Curve Described By

Arc Length Of A Polar Curve YouTube

Arc Length Of A Polar Curve YouTube

Arc Length Of A Polar Curve KristaKingMath YouTube

Lengths Of Polar Curves Formula And Example YouTube

Arc Length Of A Polar Curve YouTube

Arc Length Of A Curve Formula Derivation 4 Solved Examples Arc

https://support.google.com › android › answer
Find your device with your Wear OS watch If you lose your Android phone or tablet that s connected to a Wear OS smartwatch you can find it with your watch Learn how to find your

https://support.google.com › googleplay › answer
If you can t find the app in your list of all apps Turn off your device and turn it on again Then look for the app If you re using a Chromebook make sure you ve followed these steps to get the

https://support.google.com › maps › answer
Find your reviews On Google Maps you can write reviews for places you visit You can also leave info or post photo or video updates about a place like if it s quiet and romantic or if it s under

https://support.google.com › accounts › answer
To find your username follow these steps You need to know A phone number or the recovery email address for the account The full name on your account Follow the instructions to

https://support.google.com › android › answer
How to hide devices on Google Play If you signed in to Find Hub from a friend or family member s device You can remove your account from their device If your device is stolen or lost You can
[desc-11] [desc-12]
[desc-13]